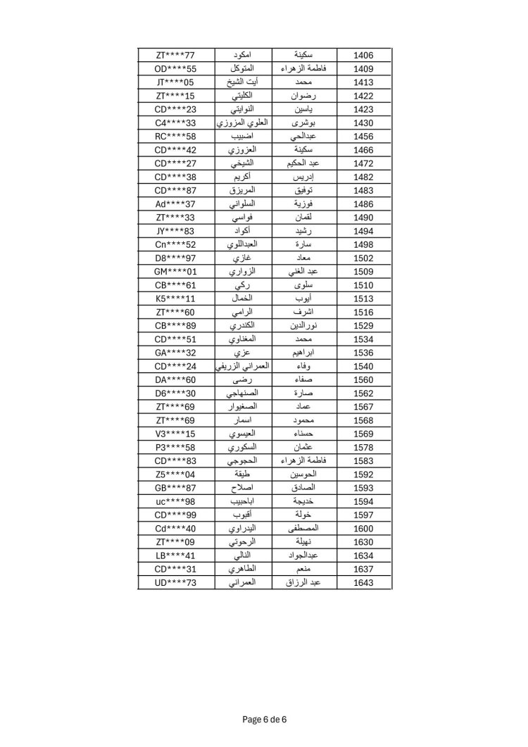
الاختبار الكتابي لولوج مسلك ماستر " المالية التشاركية والتدقيق الشرعي "






انضم إلى قائمة المشتركين لدينا للحصول على آخر الأخبار والتحديثات والعروض الخاصة مباشرة في صندوق الوارد الخاص بك







إن الرهان الحقيقي لكلية الشريعة حاليا هو البحث في السبل و الآليات الكفيلة بضمان إسهامها في مواكبة المسيرة التنموية المباركة التي تعرفها بلادنا و التي نطمح من خلالها لتحقيق إقلاع اقتصادي حقيقي يؤهل امتنا لتحتل المكانة التي تليق بها بين الأمم تحت القيادة الرشيدة لمولانا أمير المؤمنين أعزه الله و نصره. و مواكبة الجامعة المغربية لهذا المشروع ضرورية و حاسمة في نفس الوقت لأن العنصر البشري لن يستطيع القيام بدوره على أحسن وجه كرافعة للتنمية إلا إذا استطاعت الجامعة أن تؤهله لهذا الدور تأهيلا صحيحا من الناحية التربوية و الأخلاقية، متينا من الناحية العلمية و المهنية.
وإنه لمن دواعي الغبطة والسرور أن أتشرف بتكليفي عميدا لكلية االشريعة ، فيسعدني باسمي وباسم أعضاء هيأة التدريس، و الموظفين ، والطلبة والطالبات أن أرحب بزوار الموقع الجديد للكلية،الذي نعتبره نافذة للتواصل نطل من خلالها على قرائنا الأعزاء بهدف تعريفهم بالكلية والاطلاع على أخبارها والتكوينات وبنيات البحث التي تتوفر عليها ، والأوراش الثقافية والرياضية التي تنظمها وأتمنى أن يجد الزائر ما يفيده من معلومات عن الكلية ومصالحها المختلفة.
إجمالي التصويت: 1211
ممتاز